

正向壓降功耗:
算法 1:P.f=V.f*I.o V.f:正向導通電壓 I.o:輸出電流


方法 2:
Vf=Vo+If*Rs
Pf=Vo*If+Rs*If^2


反向電流功耗:
這個值不太好估計,因為 Vr 也在變化,因此我建議以實測為主:


實測:


然后可測得電壓下降波形進行計算。
漏電流功耗:P.r=V.r*I.r V.r:反向電壓 I.r:反向電流


這是最開始的博文,有些不清楚的地方。
我看到一本書,《功率晶體管和開關二極管的應用技巧》
一本 80 年代末翻譯的書,里面很詳細的闡述了功率晶體管和開關二極管設計的過程。很嚴謹也很詳實,不是偶然間翻到,我們可能沒有可能去搞清楚這個過程了。
這一段是我整理在我寫的文章里面的,希望能把這個過程寫清楚:


二極管在較高頻率下應用的時候,需要注意二極管除了我們知道的正常的導通狀態(tài)和正常的截至狀態(tài)以外,在兩種狀態(tài)之間,轉換過程中還存在著開啟效應和關斷效應。二極管在開關的過程中其電流和電壓的變化過程如圖所示:
① 開啟效應:表征著二極管由截止過渡到導通的特性,從反向電壓 VR 正向導通,跳變至最高電壓 V?P,然后慢慢降低為二極管正向導通電壓 VF,達到穩(wěn)定狀態(tài)的過程稱為二極管的正向恢復過程。這一過程所需要的時間稱為正向恢復時間。開啟過程的過程是對對反偏二極管的結電容充電,使二極管的電壓緩慢上升,因 PN 結耗盡區(qū)的工作機理,使電壓的上升比電流的上升要慢很多。
② 關斷效應:表征著二極管由導通過渡到截止的特性,從二極管正向導通電壓 VF,跳變至 負向最高電壓 VFF,然后反向截止達到穩(wěn)定狀態(tài) VR 的過程稱為二極管的反向恢復過程。這一過程所需要的時間稱為反向恢復時間。由于電荷存儲效應,二極管正向導通時,會存在非平衡少數載流子積累的現象。在關斷過程中存儲電荷消失之前,二極管仍維持正偏的狀態(tài)。為使其承受反向阻斷的能力,必需將這些少子電荷抽掉。反向恢復時間分為存儲時間 Ts 與下降時間 Tf,存儲時間時二極管處在抽走反向電荷的階段,在這段時間以后電壓達到反向最大值,二極管可開始反向阻斷,下降時間則是對二極管耗盡區(qū)結電容進行充電的過程,直到二極管完全承受外部所加的反向電壓,進入穩(wěn)定的反向截止狀態(tài)。
二極管的暫態(tài)開關過程就是 PN 結電容的充、放電過程。二極管由截止過渡到導通時,相當于電容充電,二極管由導通過渡到截止時,相當于電容放電。二極管結電容越小,充、放電 時間越短,過渡過程越短,則二極管的暫態(tài)開關特性越好。
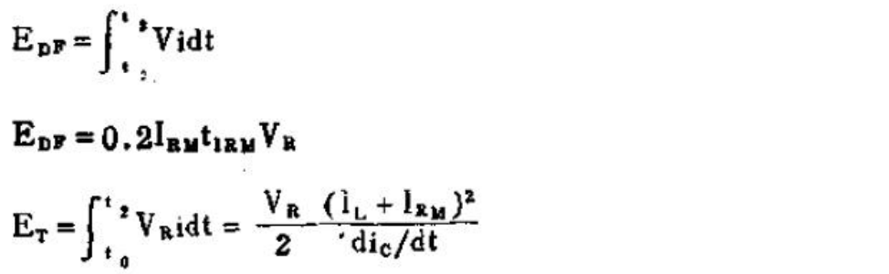
正向過程損耗:


這是一個估計的結果
反向過程損耗
計算方法也是估計的(這是續(xù)流電路的情況)


實際的功率二極管用在不同的地方,其結果也是并不相同的,按照書中整流和續(xù)流兩塊去分 析,我可能將之整理一下效果較好。感興趣的同志們可以去看看,挺詳細和詳實的一本書。
整個開關過程,實質上,就是認為對結電容進行操作。如果沒有電容,整個開關過程是非常理想的,也就等效成為一個理想的開關了。
補充(引用網上不明作者的圖和過程分析):
由于二極管外加正向電壓時,載流子不斷擴散而存儲的結果。當外加正向電壓時P區(qū)空穴向 N區(qū)擴散,N區(qū)電子向P區(qū)擴散,這樣,不僅使勢壘區(qū)(耗盡區(qū))變窄,而且使載流子有相當數量的存儲,在P區(qū)內存儲了電子,而在N區(qū)內存儲了空穴,它們都是非平衡少數載流子, 如下圖所示。


空穴由P區(qū)擴散到N區(qū)后,并不是立即與N區(qū)中的電子復合而消失,而是在一定的路程 LP(擴散長度)內,一方面繼續(xù)擴散,一方面與電子復合消失,這樣就會在 LP 范圍內存儲一 定數量的空穴,并建立起一定空穴濃度分布,靠近結邊緣的濃度最大,離結越遠,濃度越小。正向電流越大,存儲的空穴數目越多,濃度分布的梯度也越大。我們把正向導通時,非平衡少數載流子積累的現象叫做電荷存儲效應。
當輸入電壓突然由+VF 變?yōu)?VR 時P區(qū)存儲的電子和N區(qū)存儲的空穴不會馬上消失,但它們將通過下列兩個途徑逐漸減少:
① 在反向電場作用下,P區(qū)電子被拉回N區(qū),N區(qū)空穴被拉回P區(qū),形成反向漂移電流 IR, 如下圖所示;
② 與多數載流子復合。


在這些存儲電荷消失之前,PN結仍處于正向偏置,即勢壘區(qū)仍然很窄,PN結的電阻仍很 小,與 RL 相比可以忽略,所以此時反向電流 IR= (VR+VD)/RL。VD 表示PN結兩端的正向壓降,一般 VR>>VD,即 IR=VR/RL。在這段期間,IR 基本上保持不變,主要由VR 和 RL 所決定。經過時間 ts 后P區(qū)和N區(qū)所存儲的電荷已顯著減小,勢壘區(qū)逐漸變寬,反向電流 IR 逐漸減小到正常反向飽和電流的數值,經過時間 tt,二極管轉為截止。由上可 知,二極管在開關轉換過程中出現的反向恢復過程,實質上由于電荷存儲效應引起的,反向恢復時間就是存儲電荷消失所需要的時間。
烜芯微專業(yè)制造二極管,三極管,MOS管,橋堆等20年,工廠直銷省20%,4000家電路電器生產企業(yè)選用,專業(yè)的工程師幫您穩(wěn)定好每一批產品,如果您有遇到什么需要幫助解決的,可以點擊右邊的工程師,或者點擊銷售經理給您精準的報價以及產品介紹
烜芯微專業(yè)制造二極管,三極管,MOS管,橋堆等20年,工廠直銷省20%,4000家電路電器生產企業(yè)選用,專業(yè)的工程師幫您穩(wěn)定好每一批產品,如果您有遇到什么需要幫助解決的,可以點擊右邊的工程師,或者點擊銷售經理給您精準的報價以及產品介紹

